最近の発表論文

 

 

2026年

Improved formal synthesis of orobanchol and novel simultaneous synthesis of 4-deoxyorobanchol and 5-deoxystrigol with high enantiomeric purity
S. Yoon, H. Okamura, Y. Ogura, H. Takikawa, Tetrahedron, 2026, 195, 135206.

 

Concise and enantioselective synthesis of (+)-SDEF 678 metabolite and (+)-speciosins A, C, and L
K. Koyama, H. Takikawa, H. Okamura, Biosci. Biotechnol. Biochem., 2025, zbag030 (available as accepeted manuscript).

 

2025年

Total Synthesis and Complete Stereochemical Assignment of Amphirionin-5, a Potent Natural Osteoblasts Proliferator
Y. Ogura, K. Nemoto, T. Fujita, Y. Inori, D. Abe, H. Okamura, H. Takikawa, S. Kuwahara, ChemistryEurope, 2025, 00, e202500345.

 

Asymmetric Total Synthesis of (+)-Karanone: An Important Aroma Compound in Fine Agarwood
Y. Inori, H. Takikawa, Y. Ogura, J. Nat. Prod., 2025, 88, 9, 2216-2224.

 

巻頭言「山際淳司にあこがれて」
滝川浩郷, 化学と生物, 2025, 63, 187.

 

紆余曲折があってこそ面白い天然物合成(ミニレビュー)
滝川浩郷, 日本農薬学会誌, 2025, 50, 130.

 

Synthesis of 5-epi- and 10-epi-β-selinenes and 5-epi- and 10-epi-costals and their acaricidal activity against Varroa destructor
K. Miura, K. Nemoto, H. Takikawa, Y. Ogura, Biosci. Biotechnol. Biochem., 2025, 89, 811-819.

 

CYP722A1-mediated 16-hydroxylation of carlactonoic acid regulates the floral transition in Arabidopsis
M. Kuno, A. Miyamoto, H. Takano, M. Homma, N. Shiotani, K. Uchida, H. Takikawa, M. Nakajima, M. Mizutani, T. Wakabayashi, Y. Sugimoto, Plant. Cell. Physiol, 2025, 66, 645-657.

 

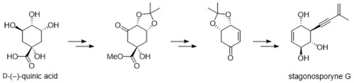
Synthesis of stagonosporyne G from (−)-D-quinic acid
K. Koyama, H. Okamura, H. Takikawa, Tetrahedron, 2025, 173, 134488.

 

Synthesis of calyxosides, two-headed glycosphingolipids isolated from marine sponges, and their α-glycoside analogs K. Sugawara, H. Okamura, Y. Ogura, S. Matsunaga, H. Takikawa, Tetrahedron, 2025, 172, 134453.

 

2024年

Synthetic Studies on Biologically Active Natural Products with Potential as Agrochemicals (Society Award 2023)
H. Takikawa, J. Pesticide Sci., 2024, 49, 297.

 

Synthesis and structural confirmation of artemisidiyne A, a cytotoxic compound isolated from the white mugwort, Artemisia lactiflora T. Shioda, H. Okamura, Y. Ogura, H. Takikawa, Tetrahedron, 2024, 165, 134190.

 

Insights into stereoselective ring formation in canonical strigolactone: Identification of a dirigent domain-containing enzyme catalyzing orobanchol synthesis M. Homma, T. Wakabayashi, Y. Moriwaki, N. Shiotani, T. Shigeta, K. Isobe, A. Okazawa, D. Ohta, T. Terada, K. Shimizu, M. Mizutani, H.Takikawa, Y. Sugimoto, Proc. Natl. Acad. Sci. USA., 2024, 121(26), e2313683121.

 

Asymmetric synthesis of orobanchol, a representative canonical strigolactone, based on enzymatic kinetic resolution and its conversion to naturally occurring orobanchol derivatives K. Uchida, H. Okamura, Y. Ogura, H. Takikawa, Tetrahedron, 2024, 159, 134016.

 

Synthesis of the proposed structure for artemisidiyne A, a cytotoxic compound isolated from the white mugwort, Artemisia lactiflora, and proposal for its structural revision T. Shioda, H. Okamura, Y. Ogura, H. Takikawa, Tetrahedron Lett., 2024, 140, 155020.

 

2-oxoglutarate-dependent dioxygenases and BAHD acyltransferases drive the structural diversification of orobanchol in Fabaceae plants M. Homma, K. Uchida, T. Wakabayashi, M. Mizutani, H. Takikawa, Y. Sugimoto Front. Plant Sci., 2024, 15, 1392212.

 

Absolute Configuration of 4-Chloroisoleucine in Cyclolithistide A: An Antifungal Peptide Lactone Discovered in Marine Lithistid Sponges T. Tian, Y. Ogura, Y. Ise, H. Takikawa, S. Okada, S. Matsunaga and G. Tang, J. Org. Chem., 2024, 89, 9135.

 

Identification of Olfactory Alarm Substances in Zebrafish M. Masuda, S. Ihara, N. Mori, T. Koide, N. Miyasaka, N. Wakisaka, K. Yoshikawa, H. Watanabe, K. Touhara, Y. Yoshihara, Current Biology, 2024, 34, 1-13.

 

2023年

Discovery of type II polyketide synthase-like enzymes for the biosynthesis of cispentacin G. Hibi, T. Shiraishi, T. Umemura, K. Nemoto, Y. Ogura, M. Nishiyama and T. Kuzuyama, Nature Communications, 2023,14, 8065.

 

Syntheses of (+)-costic acid and structurally related eudesmane sesquiterpenoids and their biological evaluations as acaricidal agents against Varroa destructor K. Nemoto, H. Takikawa and Y. Ogura, J. Pesticide Science, 2023, 48, 111-115.

 

Synthesis of (±)-zeapyranolactone, a noncanonical strigolactone isolated from maize, and determination of its overall relative configuration C. Ono-Ogasawara, S. Yamamoto, Y. Ogura, H. Okamura, K. Takaba, S. Yoshida, S. Sato, K. Yonekura and H. Takikawa, Tetrahedron Lett., 2023, 127, 154695.

 

Discovery of strigol synthase from cotton (Gossypium hirsutum): The enzyme behind the first identified germination stimulant for Striga T. Wakabayashi, M. Nakayama, Y. Kitano, M. Homma, K. Miura, H. Takikawa, M. Mizutani, Y. Sugimoto, Plants, People, Planet, 2023, 1-6.

 

A step-economical divergent approach to isoflavenes based on Suzuki-Miyaura cross coupling of a 3-boryl-2H-chromene with aryl bromides: Application to total synthesis of isoflavonoid natural products Y. Uchida, H. Takikawa, B. Kang, Biosci. Biotechnol. Biochem., 2023, 87, 954-959.

 

Novel and efficient stereoselective synthesis of (±)-orobanchol, a representative canonical strigolactone, based on acid-mediated cascade cyclization K. Uchida, Y. Ogura, H. Okamura, Y. Sugimoto and H. Takikawa, Tetrahedron Lett., 2023, 120, 154454.

 

Convergent radical-free synthesis of isoflavanquinones: Divergent total synthesis of abruquinones B, E, and P Y. Uchida, B. Kang, H. Takikawa, Tetrahedron, 2023, 136, 133362.

 

New synthesis of (±)-karanone, an important aroma compound in agarwood Y. Inori, H. Takikawa and Y. Ogura, Biosci. Biotechnol. Biochem., 2023, 87, 371-377.

 

作物保護に資する生物活性天然物の合成化学的研究 滝川浩郷, 日本農薬学会誌, 2023, 48, 98-99.

 

不斉中心の立体制御を軸とした生物活性含酸素環式天然物の全合成研究 毛利 朋世, 桑原 重文, 小倉 由資, 有機合成化学協会誌, 2023, 81, 115-126.

 

Mechanisms of Sugar Aminotransferase-like Enzymes to Synthesize Stereoisomers of Non-proteinogenic Amino Acids in Natural Product Biosynthesis S. Kurosawa, H. Okamura, A. Yoshida, T. Tomita, Y. Sone, F. Hasebe, T. Shinada, H. Takikawa, S. Kosono and M. Nishiyama, ACS Chem. Biol., 2023, 18, 385-395.

 

2022年

Identification of novel canonical strigolactones produced by tomato T. Wakabayashi, D. Moriyama, A. Miyamoto, H. Okamura, N. Shiotani, N. Shimizu, M. Mizutani, H. Takikawa and Y. Sugimoto, Front. Plant Sci., 2022, 13, 1064378.

 

Complete Biosynthetic Pathway of the Phosphonate Phosphonothrixin: Two Distinct Thiamine Diphosphate-Dependent Enzymes Divide the Work to Form a C-C Bond Y. Zhu, T. Shiraishi, J. Lin, K. Inaba, A. Ito, Y. Ogura, M. Nishiyama and T. Kuzuyama, J. Am. Chem. Soc., 2022, 144, 16715-16719.

 

Molecular Basis for Enzymatic Aziridine Formation via Sulfate Elimination S. Kurosawa, F. Hasebe, H. Okamura, A. Yoshida, K. Matsuda, Y. Sone, T. Tomita, T. Shinada, H. Takikawa, T. Kuzuyama, S. Kosono and M. Nishiyama J. Am. Chem. Soc., 2022, 144, 16164-16170.

 

Identification of 6-epi-heliolactone as a biosynthetic precursor of avenaol in Avena strigosa D. Moriyama, T. Wakabayashi, N. Shiotani, S. Yamamoto, Y. Furusato, K. Yabe, M. Mizutani, H. Takikawa and Y. Sugimoto, Biosci. Biotechnol. Biochem., 2022, 86, 998-1003.

 

Total syntheses of dihydro-β-agarofuran natural products Y. Ogura, Biosci. Biotechnol. Biochem., 2022, 86, 985-997.

 

がん細胞の遊走を阻害する天然物moverastinと合成類縁体UTKO1に関する生物有機化学的研究 小倉 由資, 化学と生物, 2022, 60, 218-225.

 

Syntheses of three 8-methoxyisoflavans from newly developed 7-benzyloxy-3-chloro-8-methoxy-2H-chromene as the precursor B. Kang, T. Oe, Y. Shimizu and H. Takikawa, Tetrahedron, 2022, 78, 132714.

 

Synthesis and Biological Evaluation of Cajaninstilbene Acid and Amorfrutins A-D as Cytotoxic Agents against Human Pancreatic Carcinoma PANC-1 Cells T. Fujita, J. Lin, A. Kimishima, M. Arai, H. Takikawa and Y Ogura, Biosci. Biotechnol. Biochem., 2022, 86, 590-595.

 

Enantioselective synthesis of 6-methyloctanal and 8-methyldecanal, the characteristic aroma components in yuzu Citrus junos, and the analysis of their enantiomeric compositions in yuzu essential oil Y. Ohkubo, N. Tomita, Y. Ogura and H. Takikawa, Biosci. Biotechnol. Biochem., 2022, 86, 170-176.

 

Conversion of methyl carlactonoate to heliolactone in sunflower. T. Wakabayashi, H. Shinde, N. Shiotani, S. Yamamoto, M. Mizutani, H. Takikawa, Y. Sugimoto, Nat. Prod. Res., 2022, 36, 2215-2222.

 

2021年

有機合成化学を基盤とするストリゴラクトン研究 滝川 浩郷, 2021, 79, 819-828. (有機合成化学協会よりHP掲載許可取得)

 

Synthesis of racemic orobanchols via acid-mediated cascade cyclization: Insight into the process of BC-ring formation in strigolactone biosynthesis N. Shiotani, T. Wakabayashi, Y. Ogura, H. Okamura, Y. Sugimoto, H. Takikawa, Tetrahedron Lett., 2021, 85, 153469.

 

Specific methylation of (11R)-carlactonoic acid by an Arabidopsis SABATH methyltransferase T. Wakabayashi, R. Yasuhara, K. Miura, H. Takikawa, M. Mizutani, Y. Sugimoto, Planta, 2021, 254, 88.

 

Stereoselective Synthesis of (2S,6R)-Diamino-(5R,7)-dihydroxy-heptanoic Acid (DADH): An Unusual Amino Acid from Streptomyces sp. SANK 60404 H. Okamura, Y. Yasuno, A. Nakayama, H. Takikawa, T. Shinada, Eur. J. Org. Chem., 2021, 1396-1401 (2021).

 

Homophymamide A, Heterodetic Cyclic Tetrapeptide from a Homophymia sp. Marine Sponge: A Cautionary Note on Configurational Assignment of Peptides That Contain a Ureido Linkage D. Kanki, S. Nakamukai, Y. Ogura, H. Takikawa, Y. Ise, Y. Morii, N. Yamawaki, T. Takatani, O. Arakawa, S. Okada, S. Matsunaga, J. Nat. Prod., 2021, 84, 1848-1853.

 

JBIR-155, a Specific Class D β-Lactamase Inhibitor of Microbial Origin T. Nishimura, T. Kawahara, N. Kagawa, Y. Ogura, H. Takikawa, H. Suenaga, M. Adachi, T. Hirokawa, T. Doi, H. K. Shin-ya, Org. Lett., 2021, 23, 4415-4419.

 

Identification and characterization of sorgomol synthase in sorghum strigolactone biosynthesis T. Wakanayashi, S. Ishiwa, K. Shida, N. Motonami, H. Suzuki, H. Takikawa, M. Mizutani, Y. Sugimoto, Plant Physiology, 2021, 185, 902-913.

 

Concise enantioselective synthesis of wine lactone via intramolecular Diels-Alder reaction Y. Ohkubo, Y. Masuda, Y. Ogura, H. Takikawa, H. Watanabe, Biosci. Biotechnol. Biochem., 2021, 85, 1390-1394.

 

Synthesis of a plasmenylethanolamine S. Maeda, T. Mohri, T. Inoue, Y. Asano, Y. Otoki, M. Enomoto, K. Nakagawa, S. Kuwahara, Y. Ogura, Biosci. Biotechnol. Biochem., 2021, 85, 1383-1389.

 

Azoxystrobin amine: A novel azoxystrobin degradation product from Bacillus licheniformis strain TAB7 E. Mpofu, A. Alias, K. Tomita, C. Suzuki-Minakuchi, K. Tomita, J. Chakraborty, M. Malon, Y. Ogura, H. Takikawa, K. Okada, T. Kimura, H. Nojiri, Chemosphere, 2021, 273, 129663.

 

Studies on strigolactone BC-ring formation: Chemical conversion of an 18-hydroxycarlactonoate derivative into racemic 4-deoxyorobanchol/5-deoxystrigol via the acid-mediated cascade cyclization N. Shiotani, T. Wakabayashi, Y. Ogura, Y. Sugimoto, H. Takikawa, Tetrahedron Lett., 2021, 68, 152922.

 

Unified synthesis and assessment of tumor cell migration inhibitory activity of optically active UTKO1, originally designed moverastin analog Y. Ogura, H. Kobayashi, M. Imoto, H, Watanabe, H. Takikawa, Biosci. Biotechnol. Biochem., 2021, 85, 160-167.

2020年

Stereocontrolled Total Synthesis of (-)-Isocelorbicol and Its Elaboration to Natural Dihydro-β-agarofuran Esters. T. Mohri, Y. Takahashi, E. Kwon, S. Kuwahara, Y. Ogura., Org. Lett., 2020, 22, 9234-9238.

 

Pheromone synthesis. Part 265: Synthesis and stereochemical composition of two pheromonal compounds of the female Korean apricot wasp, Eurytoma maslovskii. Y. Ohkubo, K. Akasaka, Y. Masuda, S. Konishi, CY. Yang, H. Takikawa, K. Mori. Tetrahedron, 2020, 76, 131410.

 

Total synthesis of terfestatins A and B. S. Sugawara, Y. Meguro, S. Sato, M. Enomoto, Y. Ogura, S. Kuwahara, Tetrahedron Lett., 2020, 61, 151891.

 

A modular and divergent approach to spirocyclic pyrrolidines. B. D. A. Shennan, P. W. Smith, Y. Ogura, D. J. Dixon. Chem. Sci., 2020, 11, 10354-10360.

 

Stereoselective synthesis of all the possible stereoisomers of coronafacic Acid. R. Watanabe, N. Kato, K. Hayashi, S. Tozawa, Y. Ogura, S. Kuwahara, M. Ueda. Chemistry Open, 2020, 9, 1008-1017.

 

Total Synthesis of Both Enantiomers of Clavigerins B and C. N. Kakimoto, Y. Ogura, H. Watanabe, H. Takikawa, Tetrahedron, 2020, 76, 131297.

 

CYP722C from Gossypium arboreum catalyzes the conversion of carlactonoic acid to 5-deoxystrigol. T. Wakabayashi, K. Shida, Y. Kitano, H. Takikawa, M. Mizutani, Y. Sugimoto, Planta, 2020, 251, 97.

 

Studies toward the synthesis of neurymenolide A: Construction of the macrocyclic core via Claisen rearrangement. M. Masuda, N. Sakurai, Y. Ogura, T. Murase, T. Kawasaki, S. Aiba, N. Mori, H. Watanabe, H. Takikawa, Tetrahedron Lett., 2020, 61, 151825.

 

Concise synthesis of heliolactone, a non-canonical strigolactone isolated from sunflower. S. Yamamoto, T. Atarashi, M. Kuse, Y, Sugimoto, H. Takikawa, Biosci. Biotechnol. Biochem., 2020, 84, 1113-1118.

 

Synthesis of anti-Helicobacter pylori sesquiterpene employing tandem radical cyclization, and determination of the absolute configuration of the natural product. K. Ishigami, K. Kadowaki, S. Yamada, S. Aiba, T. Kawasaki, R. Katsuta, A. Yajima, T. Nukada, H. Takikawa, H. Watanabe, Tetrahedron, 2020, 76, 130834.

 

Metachromins X and Y from a marine sponge Spongia sp. and their effects on cell cycle progression. Y. Hitora, K. Takada, Y. Ise, S. P . Woo, S. Inoue, N. Mori, H. Takikawa, S. Nakamukai, S. Okada, S. Matsunaga, Bioorg. Med. Chem., 2020, 28, 115233.

 

Asymmetric synthesis of trans-p-menth-3-ene-1,2,8-triol, the monoterpene isolated from herbal plants. S. Konishi, Y. Ogura, H. Takikawa, H. Watanabe, Biosci. Biotechnol. Biochem., 2020, 84, 37-42.

 

Analysis of oxidation products of alpha-tocopherol in extra virgin olive oil using liquid Chromatography-tandem mass spectrometry. R. Tanno, S. Kato, N. Shimizu, J. Ito, S. Sato, Y. Ogura, M. Sakaino, T. Sano, T. Eitsuka, S. Kuwahara, T. Miyazawa, K. Nakagawa, Food Chemistry, 2020, 306, 125582.

 

Total Synthesis of Diocollettines A via an Acid-Promoted Oxa-Michael-Aldol-Acetalization Cascade. M. Kawamoto, S. Sato, M. Enomoto, Y. Ogura, S. Kuwahara, Org. Lett., 2020, 21, 10099.

 

Synthesis of Amorfrutins B and D from Amorfrutin A Ethyl Ester. T. Fujita, S. Kuwahara, Y. Ogura, Tetrahedron Lett., 2020, 61, 151477.

 

2019年

Direct conversion of carlactonoic acid to orobanchol by cytochrome P450 CYP722C in strigolactone biosynthesis. T. Wakabayashi, M. Hamana, A. Mori, R. Akiyama, K. Ueno, H. Suzuki, H. Takikawa, M. Mizutani, Y. Sugimoto, Science Advances, 2019, 5, eaax9067.

 

First enantioselective synthesis of exiguamide, a nitrogen-containing spirocyclic sesquiterpene isolated from the marine sponge Geodia exigua. S. Konishi, Y. Mitani, N. Mori, H. Takikawa and H. Watanabe Tetrahedron, 2019, 75, 652-657.

 

Unified total synthesis of amorfrutins A and C via the Claisen rearrangement. T. Fujita, S. Kuwahara, and Y. Ogura Biosci. Biotechnol. Biochem., 2019, 83, 1635-1641.

 

Concise synthesis of (+/-)-litseaones A and B. H. Kageji, N. Mori, H. Takikawa, H. Watanabe, Biosci. Biotechnol. Biochem., 2019, 83, 810-812.

 

Evaluation of lipid oxidation mechanisms in beverages and cosmetics via analysis of linoleic acid hydroperoxide and linoleic acid ethyl ester hydroperoxide isomers. J. Ito, M. Komuro, I. S. Parida, N. Shimizu, S. Kato, Y. Meguro, Y. Ogura, S. Kuwahara, T. Miyazawa and K. Nakagawa Scientific Reports., 2019, 9, 1-9.

 

Synthesis of the N-acyl amycolose moiety of amycolamicin and its methyl glycosides. Y. Meguro, Y. Ogura, M. Enomoto, S. Kuwahara, J. Org. Chem., 2019, 84, 7474-7479.

 

Synthesis-guided structure revision of the monoterpene alcohol isolated from Mentha haplocalyx, S. Konishi, N. Mori, H. Takikawa, H. Watanabe, Biosci. Biotechnol. Biochem., 2019, 83, 391-399.

 

Synthetic study of a moss-produced oxylipine and its structural revision. H. Soeda, R. Towada, Y. Ogura, T. Mohri, G. Pohnert, S. Kuwahara, Tetrahedron, 2019, 75, 1555-1562.

 

Evalution of lipid oxidation mechanisms in beverages and cosmetics via analysis of lipid hydroperoxide isomers. J. Ito, M. Komuro, I. S. Parida, N. Shimizu, S. Kato, Y. Meguro, Y. Ogura, S. Kuwahara, T. Miyazawa, K. Nakagawa, Scientific Reports, 2019, 9, 7387.

 

Synthesis of the N-acyl amycolose moiety of amycolamicin and its methyl glycosides. Y. Meguro, Y. Ogura, M. Enomoto, S. Kuwahara, J. Org. Chem., 2019, 84, 7474-7479.

 

Synthesis and stereochemical revision of the aromatic polyketide NFAT-133. H. Sato, E. Kwon, Y. Taguchi, S. Yoshida, S. Kuwahara, Y. Ogura, J. Nat. Prod., 2019, 82, 1791-1796.

 

Definitive evidence of the presence of 24-metylenecycloartanyl ferulate and 24-metylenecycloartanyl caffeate in barley. J. Ito, K. Sawada, Y. Ogura, F. Xinyi, H. Rahmania, T. Mohri, N. Kohyama, E. Kwon, T. Eitsuka, H. Hashimoto, S. Kuwahara, T. Miyazawa, K. Nakagawa, Scientific Reports, 2019, 9, 12572.

 

First enantioselective synthesis of salinipostin A, a marine cyclic enol-phosphotriester isolated from Salinispora sp. H. Okamura, T. Fujioka, N. Mori, T. Taniguchi, K. Monde, H. Watanabe, H. Takikawa, Tetrahedron Lett., 2019, 60, 150917.

 

First Synthesis of both enantiomers of pseudohygrophorone A12, and anti-fungal cyclohezenone derivative isolated from Hygrophorus abieticola. Y. Yamamoto, Y. Ogura, H. Watanabe, H. Takikawa, Tethrahedron, 2019, 75, 130528.

 

Unified total synthesis of hetiamacins A-D. S. Tsukaguchi, M. Enomoto, R. Towada, Y. Ogura, S. Kuwahara, Eur. J. Org. Chem., 2019, 35, 6110-6116.

 

First synthesis and absolute configuration of phorbasin H, a diterpene carboxylic acid isolated from the sponge Phorbas gukulensis. K. Takahashi, Y. Ogura, M. Kuse, H. Takikawa, Biosci. Biotechnol. Biochem., 2019, 83, 2198-2201.

 

2018年

First synthesis of (±)-myristicyclin A. S. Kubo, N. Mori, H. Takikawa and H. Watanabe Biosci. Biotechnol. Biochem., 2018, 82, 1867-1870.

 

Synthesis and structure revision of litseaone A. H. Kageji, N. Mori, H. Takikawa and H. Watanabe Tetrahedron, 2018, 74, 7074-7081.

 

Synthesis of both enantiomers of conosilane A. H. Okamura, N. Mori, H. Takikawa and H. Watanabe Tetrahedron Lett., 2018, 59, 4397-4400.

 

Novel indole and benzothiophene ring derivatives showing differential modulatory activity against human epithelial sodium channel subunits, ENaC β and γ. Y. Kasahara, T. Sakurai, R. Matsuda, M. Narukawa, A. Yasuoka, N. Mori, H. Watanabe, T. Okabe, H. Kojima, K. Abe, T. Misaka and T. Asakura Biosci. Biotechnol. Biochem., 2018, 82, 243-250.

 

First synthesis of (±)-pseudohygrophorone A12, an anti-fungal cyclohexenone derivative isolated from Hygrophorus abieticola. Y. Yamamoto, N. Mori, H. Takikawa and H. Watanabe Tetrahedron Lett., 2018, 59, 3503-3505.

 

A novel synthesis of (−)-callicarpenal. D. Ogura, N. Mori, H. Takikawa and H. Watanabe Tetrahedron, 2018, 74, 5745-5751.

 

Stereospecific reduction of the butenolide in strigolactones in plants. M. Yamauchi, K. Ueno, T. Furumoto, T. Wakabayashi, M. Mizutani, H. Takikawa and Y. Sugimoto Bioorg. Med. Chem., 2018, 26, 4225-4233.

 

Evidence for species-dependent biosynthetic pathways for converting carlactone to strigolactones in plants. M. Iseki, K. Shida, K. Kuwabara, T. Wakabayashi, M. Mizutani, H. Takikawa and Y. Sugimoto J. Experimental Botany, 2018, 69, 2305-2318.

 

Bioconversion of 5-deoxystrigol stereoisomers to monohydroxylated strigolactones by plants. K. Ueno, H. Nakashima, M. Mizutani, H. Takikawa and Y. Sugimoto J. Pesticide Science, 2018, 43, 198-206.

 

Enantioselective Total Synthesis of (+)-Anthecularin.
Y. Ogura, S. Okada, N. Mori, K. Ishigami, H. Watanabe; Org.Lett., 2018, 20, 3888-3891.

 

Synthetic studies on pseudolaric acid B: Construction of the trans-fused [5-7] ring system via Dieckmann codensation. N. Mori, C. Mase, H. Watanabe, H. Takikawa, Tetrahedron Lett., 2018, 59, 2600-2063.

 

The membrane-bound O-acyltransferase Ale1 transfers an acyl moiety to newly synthesized 2-alkyl-sn-glycero-3-phosphocholine in yeast.
S. Morisada, Y. Ono, T. Kodaira, H. Kishino, R. Ninomiya, N. Mori, H. Watanabe, A. Ohta, H. Horiuchi, R. Fukuda, FEBS Lett., 2018, 592, 1829-1836.

 

Challenges for the Synthesis of Azadirachtin.
N. Mori, J. Synth. Org. Chem. Jpn., 2018, 76, 506-509.

 

Synthesis-guided structure revision of the monoterpene alcohol isolated from Mentha haplocalyx. S. Konishi, N. Mori, H. Takikawa and H. Watanabe Biosci. Biotechnol. Biochem. 2018, 82, 391-399.

 

First synthesis of (S)-(+)-hymenoic acid, a DNA polymerase λ inhibitor isolated fromHymenochaetaceae sp. K. Takahashi, M. Matsui, M. Kuse and H. Takikawa Biosci. Biotechnol. Biochem., 2018, 82, 42-45.

 

Synthetic studies on optically active furofuran and diarylbutane lignans.
N. Mori, Biosci. Biotechnol. Biochem., 2018, 82, 1-8.

 

トップへ戻る